swjm implements stagewise (forward-stepwise) variable
selection for joint models of recurrent events and terminal events
(semi-competing risks). Two model frameworks are supported:
| Model | Type | alpha (first p) |
beta (second p) |
|---|---|---|---|
| JFM | Cox frailty | recurrence/readmission | terminal/death |
| JSCM | Scale-change (AFT) | recurrence/readmission | terminal/death |
Three penalty types are available: cooperative lasso
("coop"), lasso ("lasso"), and group lasso
("group"). The cooperative lasso encourages shared support
between the readmission and death coefficient vectors.
# From the package directory:
devtools::install("swjm")All functions expect a data frame with columns id,
t.start, t.stop, event (1 =
readmission, 0 = terminal/censoring row), status (1 =
death, 0 = alive/censored), and covariate columns
x1, ..., xp.
library(swjm)
# Joint Frailty Model — scenario 1
set.seed(42)
dat_jfm <- generate_data(n = 200, p = 100, scenario = 1, model = "jfm")
Data_jfm <- dat_jfm$data
# JSCM — same scenario
set.seed(42)
dat_jscm <- generate_data(n = 200, p = 100, scenario = 1, model = "jscm")
#> Call:
#> reReg::simGSC(n = n, summary = TRUE, para = para, xmat = X, censoring = C,
#> frailty = gamma, tau = 60)
#>
#> Summary:
#> Sample size: 200
#> Number of recurrent event observed: 343
#> Average number of recurrent event per subject: 1.715
#> Proportion of subjects with a terminal event: 0.175
Data_jscm <- dat_jscm$dataJFM data: n = 200 subjects, 382 readmission events, 48 deaths
fit_jfm <- stagewise_fit(Data_jfm, model = "jfm", penalty = "coop")
fit_jfm
#> Stagewise path (jfm/coop)
#>
#> Covariates (p): 100
#> Iterations: 5000
#> Lambda range: [0.08902, 1.301]
#> Active at final step: 44 readmission, 34 death
#> Readmission (alpha): 1, 2, 3, 4, 5, 7, 9, 10, 12, 14, 15, 17, 23, 33, 35, 37, 38, 39, 41, 43, 47, 49, 52, 55, 57, 60, 62, 64, 66, 67, 69, 71, 73, 74, 77, 79, 80, 82, 92, 93, 95, 96, 97, 98
#> Death (beta): 3, 4, 5, 7, 9, 10, 12, 14, 15, 17, 25, 37, 38, 39, 41, 43, 47, 49, 52, 57, 60, 62, 66, 67, 73, 74, 78, 80, 82, 84, 95, 96, 97, 98The fit object now exposes alpha (readmission) and
beta (death) as separate p × (k+1)
matrices — one column per stagewise step — in addition to the combined
theta matrix (2p × (k+1)):
p <- 100
k_final <- ncol(fit_jfm$alpha)
a_final <- round(fit_jfm$alpha[, k_final], 4)Nonzero alpha entries at final step:
a_final[a_final != 0]
#> [1] 1.0057 -0.9787 0.0183 -0.0577 0.0185 0.0151 0.9614 -0.8484 0.0124
#> [10] 0.0423 -0.0284 0.0199 -0.0020 0.0240 -0.0240 0.0064 0.0781 -0.0061
#> [19] 0.0125 0.0046 -0.0429 0.0396 0.0092 0.0680 -0.0550 -0.0500 -0.0007
#> [28] 0.0200 0.0742 0.0005 -0.0350 0.0370 0.0099 -0.0234 0.0450 0.0790
#> [37] -0.0072 0.0013 -0.0200 0.0150 0.0085 0.0027 -0.0618 0.0272summary() shows a compact table of path-end coefficients
with variable type (shared, readmission-only, or death-only):
summary(fit_jfm)
#> Stagewise path (jfm/coop)
#>
#> p = 100 | 5000 iterations | lambda: [0.08902, 1.301]
#> Decreasing path: 784 steps
#>
#> Path-end coefficients (nonzero variables):
#>
#> Variable alpha beta Type
#> ---------- ---------- ---------- ----------------
#> x9 +0.9614 +0.6629 shared (+)
#> x4 -0.0577 -0.9979 shared (+)
#> x10 -0.8484 -0.7274 shared (+)
#> x2 -0.9787 — readmission only
#> x3 +0.0183 +0.8049 shared (+)
#> x74 -0.0234 -0.3101 shared (+)
#> x1 +1.0057 — readmission only
#> x67 +0.0005 +0.1393 shared (+)
#> x57 -0.0550 +0.1330 shared (–)
#> x38 +0.0781 +0.0857 shared (+)
#> x97 -0.0618 -0.0583 shared (+)
#> x66 +0.0742 +0.0415 shared (+)
#> x41 +0.0125 +0.0937 shared (+)
#> x55 +0.0680 — readmission only
#> x79 +0.0790 — readmission only
#> x60 -0.0500 +0.0070 shared (–)
#> x49 +0.0396 +0.0305 shared (+)
#> x98 +0.0272 +0.0792 shared (+)
#> x15 -0.0284 -0.0639 shared (+)
#> x7 +0.0151 +0.1160 shared (+)
#> x82 +0.0013 +0.0750 shared (+)
#> x5 +0.0185 +0.0527 shared (+)
#> x39 -0.0061 -0.0657 shared (+)
#> x14 +0.0423 +0.0076 shared (+)
#> x47 -0.0429 -0.0135 shared (+)
#> x71 +0.0370 — readmission only
#> x77 +0.0450 — readmission only
#> x69 -0.0350 — readmission only
#> x35 -0.0240 — readmission only
#> x33 +0.0240 — readmission only
#> x17 +0.0199 +0.0020 shared (+)
#> x84 — -0.0790 death only
#> x37 +0.0064 +0.0394 shared (+)
#> x78 — +0.0710 death only
#> x64 +0.0200 — readmission only
#> x92 -0.0200 — readmission only
#> x25 — +0.0200 death only
#> x80 -0.0072 -0.0165 shared (+)
#> x93 +0.0150 — readmission only
#> x12 +0.0124 +0.0085 shared (+)
#> x73 +0.0099 +0.0084 shared (+)
#> x95 +0.0085 +0.0170 shared (+)
#> x52 +0.0092 +0.0092 shared (+)
#> x43 +0.0046 +0.0038 shared (+)
#> x96 +0.0027 +0.0054 shared (+)
#> x23 -0.0020 — readmission only
#> x62 -0.0007 -0.0007 shared (+)
#>
#> Inactive: x6, x8, x11, x13, x16, x18, x19, x20, x21, x22, x24, x26, x27, x28, x29, x30, x31, x32, x34, x36, x40, x42, x44, x45, x46, x48, x50, x51, x53, x54, x56, x58, x59, x61, x63, x65, x68, x70, x72, x75, x76, x81, x83, x85, x86, x87, x88, x89, x90, x91, x94, x99, x100plot() produces a glmnet-style coefficient trajectory
plot with the number of active variables on the top axis:
plot(fit_jfm)
cv_stagewise() evaluates a cross-fitted
estimating-equation score norm over a grid of lambda values.
lambda_path <- fit_jfm$lambda
dec_idx <- swjm:::extract_decreasing_indices(lambda_path)
lambda_seq <- lambda_path[dec_idx]
cv_jfm <- cv_stagewise(
Data_jfm, model = "jfm", penalty = "coop",
lambda_seq = lambda_seq, K = 3L
)
cv_jfm
#> Cross-validation (jfm/coop)
#>
#> Covariates (p): 100
#> Lambda grid size: 784
#> Best position (combined): 438 (lambda = 0.9241)
#> Selected variables: 8 readmission, 6 death
#> Readmission (alpha): 1, 2, 3, 4, 9, 10, 67, 74
#> Death (beta): 3, 4, 9, 10, 67, 74The CV object stores alpha and beta at the
optimal lambda, plus n_active_alpha,
n_active_beta, and n_active variable-count
vectors across the full lambda grid.
plot(cv_jfm)
# summary() shows a formatted table of selected coefficients
summary(cv_jfm)
#> CV-selected model (jfm/coop)
#>
#> p = 100 | Lambda grid: 784 steps | CV optimal: step 438 (lambda = 0.9241)
#>
#> Selected coefficients (8 readmission, 6 death):
#>
#> Variable alpha beta Type
#> ---------- ---------- ---------- ----------------
#> x9 +0.4338 +0.4528 shared (+)
#> x4 -0.0466 -0.8184 shared (+)
#> x10 -0.3531 -0.4622 shared (+)
#> x3 +0.0075 +0.6503 shared (+)
#> x2 -0.2507 — readmission only
#> x74 -0.0162 -0.1793 shared (+)
#> x1 +0.1597 — readmission only
#> x67 +0.0004 +0.0133 shared (+)
#>
#> Inactive (92): x5, x6, x7, x8, x11, x12, x13, x14, x15, x16, x17, x18, x19, x20, x21, x22, x23, x24, x25, x26, x27, x28, x29, x30, x31, x32, x33, x34, x35, x36, x37, x38, x39, x40, x41, x42, x43, x44, x45, x46, x47, x48, x49, x50, x51, x52, x53, x54, x55, x56, x57, x58, x59, x60, x61, x62, x63, x64, x65, x66, x68, x69, x70, x71, x72, x73, x75, x76, x77, x78, x79, x80, x81, x82, x83, x84, x85, x86, x87, x88, x89, x90, x91, x92, x93, x94, x95, x96, x97, x98, x99, x100Direct access to selected coefficients:
# coef() returns the combined numeric vector c(alpha, beta) for compatibility
theta_best <- coef(cv_jfm)baseline_hazard() evaluates the cumulative baseline
hazards at any desired time points (Breslow for JFM; Nelson-Aalen on the
accelerated scale for JSCM):
bh <- baseline_hazard(cv_jfm, times = c(0.5, 1.0, 2.0, 4.0, 6.0))
print(bh)
#> time cumhaz_readmission cumhaz_death
#> 1 0.5 0.8302786 0.04821411
#> 2 1.0 1.3776457 0.06859515
#> 3 2.0 1.9078200 0.12461276
#> 4 4.0 3.1933429 0.28725353
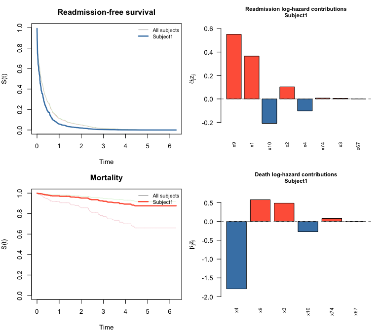
#> 5 6.0 4.5481622 0.33588232predict() computes subject-specific readmission-free and
death-free survival curves, together with the per-predictor
contributions to each linear predictor:
# Three hypothetical new subjects (covariate vectors of length p = 100)
set.seed(7)
newz <- matrix(rnorm(300), nrow = 3, ncol = 100)
colnames(newz) <- paste0("x", 1:100)
pred <- predict(cv_jfm, newdata = newz)
pred
#> swjm predictions (jfm)
#>
#> Subjects: 3
#> Time points: 430
#> Time range: [0.0002844, 6.281]
#>
#> Use plot() to visualize survival curves and predictor contributions.
# S_re: readmission-free survival — first 10 time points
round(pred$S_re[, 1:10], 3)
#> t=0.0002844 t=0.0009392 t=0.001171 t=0.001381 t=0.001936 t=0.002432
#> Subject1 0.992 0.983 0.983 0.974 0.966 0.957
#> Subject2 0.994 0.987 0.987 0.980 0.973 0.967
#> Subject3 0.994 0.987 0.987 0.981 0.974 0.967
#> t=0.004535 t=0.004809 t=0.006178 t=0.006205
#> Subject1 0.949 0.940 0.932 0.923
#> Subject2 0.960 0.953 0.947 0.940
#> Subject3 0.961 0.954 0.948 0.941
# Predictor contributions for subject 1 — show only nonzero entries
contrib1 <- round(pred$contrib_re[1, ], 3)
contrib1[contrib1 != 0]
#> x1 x2 x3 x4 x9 x10 x74
#> 0.365 0.103 0.006 -0.102 0.552 -0.209 0.007plot() on a swjm_pred object draws four
panels: survival curves for both processes (all subjects in grey,
highlighted subject in color) plus bar charts of predictor contributions
for the selected subject.
plot(pred, which_subject = 1)
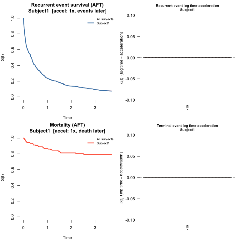
The same workflow applies to the JSCM. baseline_hazard()
and predict() now work for both models: for JSCM, survival
curves are estimated via a Nelson-Aalen baseline on the accelerated time
scale. In the AFT interpretation, \(e^{\hat\alpha^\top z_i}\) is the
time-acceleration factor for subject \(i\): greater than 1 means events happen
sooner, less than 1 means later.
fit_jscm <- stagewise_fit(Data_jscm, model = "jscm", penalty = "coop")
lambda_path_jscm <- fit_jscm$lambda
dec_idx_jscm <- swjm:::extract_decreasing_indices(lambda_path_jscm)
lambda_seq_jscm <- lambda_path_jscm[dec_idx_jscm]
cv_jscm <- cv_stagewise(
Data_jscm, model = "jscm", penalty = "coop",
lambda_seq = lambda_seq_jscm, K = 3L
)
summary(cv_jscm)
#> CV-selected model (jscm/coop)
#>
#> p = 100 | Lambda grid: 30 steps | CV optimal: step 3 (lambda = 0.6838)
#>
#> Selected coefficients (1 readmission, 1 death):
#>
#> Variable alpha beta Type
#> ---------- ---------- ---------- ----------------
#> x10 -0.0180 -0.0088 shared (+)
#>
#> Inactive (99): x1, x2, x3, x4, x5, x6, x7, x8, x9, x11, x12, x13, x14, x15, x16, x17, x18, x19, x20, x21, x22, x23, x24, x25, x26, x27, x28, x29, x30, x31, x32, x33, x34, x35, x36, x37, x38, x39, x40, x41, x42, x43, x44, x45, x46, x47, x48, x49, x50, x51, x52, x53, x54, x55, x56, x57, x58, x59, x60, x61, x62, x63, x64, x65, x66, x67, x68, x69, x70, x71, x72, x73, x74, x75, x76, x77, x78, x79, x80, x81, x82, x83, x84, x85, x86, x87, x88, x89, x90, x91, x92, x93, x94, x95, x96, x97, x98, x99, x100set.seed(7)
newz_jscm <- matrix(runif(600, -1, 1), nrow = 3, ncol = 100)
#> Warning in matrix(runif(600, -1, 1), nrow = 3, ncol = 100): data length differs
#> from size of matrix: [600 != 3 x 100]
pred_jscm <- predict(cv_jscm, newdata = newz_jscm)Recurrence time-acceleration factors:
round(pred_jscm$time_accel_re, 3)
#> Subject1 Subject2 Subject3
#> 1.000 0.983 1.005plot() draws the same four-panel layout as for JFM:
survival curves for both processes plus bar charts of log
time-acceleration contributions.
plot(pred_jscm, which_subject = 1)
fit_lasso <- stagewise_fit(Data_jfm, model = "jfm", penalty = "lasso")
cv_lasso <- cv_stagewise(Data_jfm, model = "jfm", penalty = "lasso", K = 3L)
summary(cv_lasso)
fit_group <- stagewise_fit(Data_jfm, model = "jfm", penalty = "group")
cv_group <- cv_stagewise(Data_jfm, model = "jfm", penalty = "group", K = 3L)
summary(cv_group)Compare CV-optimal estimates to the true generating coefficients. Variables that are truly nonzero or were selected are shown; all others were correctly excluded.
p <- 100
# JFM: variables of interest (true signal or selected)
show_jfm <- sort(which(dat_jfm$alpha_true != 0 | cv_jfm$alpha != 0 |
dat_jfm$beta_true != 0 | cv_jfm$beta != 0))
coef_df <- data.frame(
variable = paste0("x", show_jfm),
true_alpha = round(dat_jfm$alpha_true[show_jfm], 3),
est_alpha = round(cv_jfm$alpha[show_jfm], 3),
true_beta = round(dat_jfm$beta_true[show_jfm], 3),
est_beta = round(cv_jfm$beta[show_jfm], 3)
)
colnames(coef_df) <- c("variable", "alpha_true", "alpha_est", "beta_true", "beta_est")
print(coef_df, row.names = FALSE)
#> variable alpha_true alpha_est beta_true beta_est
#> x1 1.1 0.160 0.1 0.000
#> x2 -1.1 -0.251 -0.1 0.000
#> x3 0.1 0.007 1.1 0.650
#> x4 -0.1 -0.047 -1.1 -0.818
#> x9 1.0 0.434 1.0 0.453
#> x10 -1.0 -0.353 -1.0 -0.462
#> x67 0.0 0.000 0.0 0.013
#> x74 0.0 -0.016 0.0 -0.179JFM alpha: TP=6 FP=2 FN=0 | beta: TP=4 FP=2 FN=2
show_jscm <- sort(which(dat_jscm$alpha_true != 0 | cv_jscm$alpha != 0 |
dat_jscm$beta_true != 0 | cv_jscm$beta != 0))
coef_jscm <- data.frame(
variable = paste0("x", show_jscm),
true_alpha = round(dat_jscm$alpha_true[show_jscm], 3),
est_alpha = round(cv_jscm$alpha[show_jscm], 3),
true_beta = round(dat_jscm$beta_true[show_jscm], 3),
est_beta = round(cv_jscm$beta[show_jscm], 3)
)
colnames(coef_jscm) <- c("variable", "alpha_true", "alpha_est", "beta_true", "beta_est")
print(coef_jscm, row.names = FALSE)
#> variable alpha_true alpha_est beta_true beta_est
#> x1 1.1 0.000 0.1 0.000
#> x2 -1.1 0.000 -0.1 0.000
#> x3 0.1 0.000 1.1 0.000
#> x4 -0.1 0.000 -1.1 0.000
#> x9 1.0 0.000 1.0 0.000
#> x10 -1.0 -0.018 -1.0 -0.009JSCM alpha: TP=1 FP=0 FN=5 | beta: TP=1 FP=0 FN=5
We use the timeROC package (Blanche et al., 2013) to
compute cause-specific time-varying AUC in the competing-risk framework.
Each subject contributes at most a first-readmission event (cause 1) and
a death event (cause 2). Each sub-model is assessed with its own linear
predictor: \(\hat\alpha^\top z_i\) for
readmission, \(\hat\beta^\top z_i\) for
death.
Note: AUC is evaluated on the training data for illustration. In practice use held-out or cross-validated predictions.
# Construct competing-risk dataset:
# Keep first readmission (event==1 & t.start==0) + death/censor (event==0).
# Status: 1 = first readmission, 2 = death, 0 = censored.
.cr_data <- function(Data) {
d3 <- Data[Data$event == 0 | (Data$event == 1 & Data$t.start == 0), ]
d3 <- d3[order(d3$id, d3$t.start, d3$t.stop), ]
status <- ifelse(d3$event == 1 & d3$status == 0, 1L,
ifelse(d3$event == 0 & d3$status == 0, 0L, 2L))
list(data = d3, status = status)
}
cr_jfm <- .cr_data(Data_jfm)
cr_jscm <- .cr_data(Data_jscm)
# Baseline covariates (one row per subject)
Z_jfm <- as.matrix(Data_jfm[!duplicated(Data_jfm$id), paste0("x", 1:p)])
Z_jscm <- as.matrix(Data_jscm[!duplicated(Data_jscm$id), paste0("x", 1:p)])
# Markers expanded to row level: alpha^T z for readmission, beta^T z for death
M_re_jfm <- drop(Z_jfm %*% cv_jfm$alpha)[cr_jfm$data$id]
M_de_jfm <- drop(Z_jfm %*% cv_jfm$beta)[cr_jfm$data$id]
M_re_jscm <- drop(Z_jscm %*% cv_jscm$alpha)[cr_jscm$data$id]
M_de_jscm <- drop(Z_jscm %*% cv_jscm$beta)[cr_jscm$data$id]if (!requireNamespace("timeROC", quietly = TRUE))
install.packages("timeROC")
library(survival)
library(timeROC)
# Evaluation grid: 20 points spanning the 10th-85th percentile of event times
.tgrid <- function(t_vec, status, n = 20) {
t_ev <- t_vec[status > 0]
seq(quantile(t_ev, 0.10), quantile(t_ev, 0.85), length.out = n)
}
t_jfm <- .tgrid(cr_jfm$data$t.stop, cr_jfm$status)
t_jscm <- .tgrid(cr_jscm$data$t.stop, cr_jscm$status)
# Readmission AUC: alpha^T z marker, cause = 1
roc_re_jfm <- timeROC(T = cr_jfm$data$t.stop, delta = cr_jfm$status,
marker = M_re_jfm, cause = 1, weighting = "marginal",
times = t_jfm, ROC = FALSE, iid = FALSE)
roc_re_jscm <- timeROC(T = cr_jscm$data$t.stop, delta = cr_jscm$status,
marker = M_re_jscm, cause = 1, weighting = "marginal",
times = t_jscm, ROC = FALSE, iid = FALSE)
# Death AUC: beta^T z marker, cause = 2
roc_de_jfm <- timeROC(T = cr_jfm$data$t.stop, delta = cr_jfm$status,
marker = M_de_jfm, cause = 2, weighting = "marginal",
times = t_jfm, ROC = FALSE, iid = FALSE)
roc_de_jscm <- timeROC(T = cr_jscm$data$t.stop, delta = cr_jscm$status,
marker = M_de_jscm, cause = 2, weighting = "marginal",
times = t_jscm, ROC = FALSE, iid = FALSE).get_auc <- function(roc, cause) {
auc <- roc[[paste0("AUC_", cause)]]
if (is.null(auc)) auc <- roc$AUC
if (is.null(auc) || !is.numeric(auc)) return(rep(NA_real_, length(roc$times)))
if (length(auc) == length(roc$times) + 1) auc <- auc[-1]
as.numeric(auc)
}
old_par <- par(mfrow = c(1, 2), mar = c(4.5, 4, 3, 1))
plot(t_jfm, .get_auc(roc_re_jfm, 1), type = "l", lwd = 2, col = "steelblue",
xlab = "Time", ylab = "AUC(t)", main = "JFM", ylim = c(0.4, 1))
lines(t_jfm, .get_auc(roc_de_jfm, 2), lwd = 2, col = "tomato", lty = 2)
abline(h = 0.5, lty = 3, col = "grey60")
legend("bottomleft", c("Readmission", "Death"),
col = c("steelblue", "tomato"), lwd = 2, lty = c(1, 2),
bty = "n", cex = 0.85)
plot(t_jscm, .get_auc(roc_re_jscm, 1), type = "l", lwd = 2, col = "steelblue",
xlab = "Time", ylab = "AUC(t)", main = "JSCM", ylim = c(0.4, 1))
lines(t_jscm, .get_auc(roc_de_jscm, 2), lwd = 2, col = "tomato", lty = 2)
abline(h = 0.5, lty = 3, col = "grey60")
legend("bottomleft", c("Readmission", "Death"),
col = c("steelblue", "tomato"), lwd = 2, lty = c(1, 2),
bty = "n", cex = 0.85)
par(old_par)theta is always stored as
c(alpha, beta): theta[1:p] =
alpha (readmission), theta[(p+1):(2p)] =
beta (death). This holds for both the JFM and JSCM.stagewise_fit() also returns alpha and
beta as separate p × (k+1) matrices for
convenient access to the full regularization path.cv_stagewise() stores alpha and
beta at the CV-optimal lambda, plus variable-count vectors
n_active_alpha, n_active_beta,
n_active.cv$baseline and accessible via
baseline_hazard(cv, times). Works for both models: Breslow
estimator for JFM; Nelson-Aalen on the accelerated time scale for JSCM.
Used internally by predict().predict(cv, newdata) works for both models and returns a
swjm_pred object with S_re, S_de
(survival matrices), linear predictors lp_re,
lp_de, and predictor-contribution matrices
contrib_re, contrib_de (\(\hat\alpha_j z_{ij}\) and \(\hat\beta_j z_{ij}\)).
time_accel_re and
time_accel_de (\(e^{\hat\alpha^\top z_i}\), \(e^{\hat\beta^\top z_i}\)) — the
multiplicative factors by which each subject’s event times are scaled
relative to baseline. Contributions \(\hat\alpha_j z_{ij}\) are log
time-acceleration contributions: \(e^{\hat\alpha_j z_{ij}} > 1\) shortens
event times; \(< 1\) lengthens
them.(alpha_j, beta_j) with the L2 norm when signs agree,
and L1 when they disagree — encouraging variables that affect both
processes to enter together with the same sign.
Need a high-speed mirror for your open-source project?
Contact our mirror admin team at info@clientvps.com.
This archive is provided as a free public service to the community.
Proudly supported by infrastructure from VPSPulse , RxServers , BuyNumber , UnitVPS , OffshoreName and secure payment technology by ArionPay.